Každý vytrvalostní sportovec, trenér i vědec zabývající se lidským výkonem je obeznámen s pojmem tréninkové zóny — jsou všudypřítomné ve všech sportech založených na pracovní kapacitě, ať už jde o běh, cyklistiku, lyžování nebo veslování.
V praxi tyto zóny fungují jako společný jazyk, pomocí kterého trenéři a sportovci plánují, realizují a komunikují trénink.
Konceptuálně jsou tréninkové zóny klasifikací intenzity, která rozděluje zátěž do diskrétních pásem, obvykle na základě srdeční frekvence, výkonu (wattů) nebo hladiny krevního laktátu. Každé pásmo je zároveň považováno za vyvolávající specifickou fyziologickou odpověď a tréninkovou adaptaci. Proto se zóny běžně používají k předepisování tréninku — například: běž 60 minut v zóně 2 při tepové frekvenci mezi X a Y bpm.
Modely založené na zónách jsou dnes tak hluboce zakořeněné v trenérské kultuře, že jejich zpochybnění působí téměř kacířsky.
Podle mého názoru je však standardní pětizónový model postaven na dvou chybných předpokladech:
Prvním je představa, že lidskou fyziologii lze adekvátně popsat jediným biomarkerem (například srdeční frekvencí).
Druhým je přesvědčení, že intenzitu cvičení lze jednotně charakterizovat pěti (nebo jakýmkoli pevně daným počtem) odlišných fyziologických stavů.
Ani jeden z těchto předpokladů neobstojí při důkladnějším zkoumání. A kombinovaný efekt těchto dvou zjednodušení — tedy zóny založené na jediném biomarkeru spolu s arbitrárně stanoveným počtem pásem — vytváří konceptuální rámec, který často více zastírá realitu, než aby ji objasňoval.
Myslím, že to můžeme dělat mnohem lépe.
Pojďme se do toho ponořit.
Problém 1 — Omyl jednoho biomarkeru
Trénink založený na zónách obvykle spoléhá na jeden biomarker — nejčastěji srdeční frekvenci.
Když předepisujete trénink na základě jediného biomarkeru, ve skutečnosti seskupujete datové body podél jediné osy a jste nuceni stanovit arbitrární hranice. Například mezi 109 a 127 údery za minutu (bpm) je zóna 2, nad 165 bpm je zóna 5 a tak dále.
Myšlenka je jednoduchá, snadno sdělitelná (a proto široce rozšířená), ale zároveň neúplná.
A standardní pětizónový model intenzity klasifikovaný podle procent maximální srdeční frekvence.
Fyziologie tyto hranice nerespektuje, protože fyziologie není jednorozměrná¹.
Abych vysvětlil, co tím myslím, uvažujme následující scénář:
Závodní běžec na lyžích absolvuje dvakrát stejný 15minutový výkonnostní test (5 minut stupňovaný test, poté 10 minut mírně nad kritickou rychlostí) na lyžařském běžeckém pásu. Jednotlivé testy jsou od sebe odděleny přibližně 10 týdny.
Při prvním absolvování testu jeho srdeční frekvence během prvních 5 minut stoupne z přibližně 140 na 175 tepů za minutu a následně se po zbývajících 10 minut udržuje přibližně na této hodnotě.
Během těchto 10 minut však jeho dechová frekvence i VO₂ postupně dále rostou a ke konci testu dosahují téměř maximálních hodnot, jak je znázorněno níže.
Srdeční frekvence, dechová frekvence a VO₂ běžce na lyžích během dvou výkonnostních testů oddělených přibližně 10 týdny.
Nyní se podívejme na druhé hodnocení po přibližně 10 týdnech tréninku zaměřeného na limitující faktory.
Vidíme, že kinetika srdeční frekvence sportovce je po celou dobu testu zhruba stejná jako při prvním měření, avšak dechová frekvence a VO₂ vykazují zcela odlišný průběh. Zatímco při prvním testu tyto hodnoty postupně narůstaly, při druhém nejprve vzrostou a poté se ustálí.
Dva testy se stejnou srdeční frekvencí, ale zásadně odlišnou celkovou fyziologickou odpovědí — a tento nesoulad je patrný až ve chvíli, kdy se posuneme z jednorozměrného pohledu ke třírozměrnému.
Tento příklad ukazuje, jak může definování zón na základě jediného biomarkeru vést k tomu, že dva rozdílné fyziologické stavy jsou nesprávně zařazeny do jedné kategorie (tzv. falešně pozitivní výsledek).
Definování zón pomocí pevných hranic srdeční frekvence je však stejně náchylné k opačné chybě — k falešně negativním závěrům.
Například podle aplikace Polar mě jízda na kole při 133 bpm řadí do zóny 2, zatímco při 134 bpm jsem náhle v zóně 3, přestože mezi těmito dvěma hodnotami neexistuje téměř žádný fyziologický rozdíl. Navíc tento přístup považuje veškeré cvičení při 134 bpm za rovnocenné, bez ohledu na to, co se děje s mou ventilací, využitím energetických substrátů nebo okysličením svalů.
Tento problém se během tréninku dále prohlubuje. Můžete absolvovat náročný dvacetiminutový úsek na prahu, během něhož se vaše srdeční frekvence drží stabilně mezi 168–172 bpm. Konvenční pětizónový model může celý tento blok klasifikovat jako zónu 4. Z pohledu tréninkové aplikace je vše provedeno perfektně.
Vaše subjektivní zkušenost však může vyprávět jiný příběh. Je tu okamžik, kdy se úsilí poprvé stane náročným, poté fáze, kdy je náročné, ale udržitelné, a nakonec poslední minuty, kdy se vše začne rozpadat.
Většina sportovců tuto postupnou změnu intenzity dokáže velmi dobře vnímat. Tradiční přístup založený na jediném metrickém ukazateli však tyto rozdíly zplošťuje do jediné kategorie.
Vícedimenzionální přístup k určování zón nám umožňuje těmto problémům předejít. Pokud pracujeme se dvěma biomarkery, můžeme datové body umístit do souřadnicové roviny (osa x–y) a identifikovat oblasti charakterizované například vysokou hodnotou v jedné dimenzi a nízkou v druhé.
Dvourozměrné členění intenzity v rovině x–y (srdeční frekvence – dechová frekvence).
Se třemi biomarkery lze datové body rozmístit podél os x–y–z, což poskytuje ještě větší míru detailu. (Výpočetně je možné pracovat v mnohem vyšších dimenzích, i když cokoli nad tři rozměry již nelze vizuálně zobrazit.)
Trojrozměrné členění intenzity podél os x–y–z (srdeční frekvence – VO₂ – dechová frekvence).
Model, který jsme společně s kolegy Evanem Peikonem a Danielem Crumbackem vyvinuli, pracuje minimálně se třemi a maximálně s osmnácti dimenzemi — v závislosti na tom, jaká data nám uživatel poskytne.
V ideálním případě uživatel do naší platformy nahraje data o srdeční frekvenci, svalové oxygenaci, VO₂, dechové frekvenci, oxidaci tuků a oxidaci sacharidů. Z těchto šesti vstupních proměnných následně počítáme první a druhé derivace, což nám umožňuje zachytit nejen absolutní hodnoty, ale i jejich rychlost změny. (Současně provádíme další úpravy dat, abychom snížili vliv měřicího šumu a zabránili tomu, aby některý ukazatel dominoval analýze pouze kvůli rozdílům v měřítku.)
Výpočet těchto derivací nám umožňuje odpovědět na otázky typu: „Jak rychle roste srdeční frekvence (dHR/dt)?“ „Klesá svalová saturace kyslíkem, a pokud ano, zrychluje se tento pokles (d²SmO₂/dt²)?“
Během stupňovaného testu nebo progresivního zatížení tyto časové dynamiky odhalují metabolické přechody, které by statická měření přehlédla.
Například sportovec, jehož srdeční frekvence roste o 2 bpm za minutu, zatímco SmO₂ zůstává stabilní, se nachází v jiném fyziologickém stavu než sportovec, jehož srdeční frekvence roste stejnou rychlostí, ale SmO₂ prudce klesá.
Tento přístup odhaluje vzorce, které jsou pro tradiční dělení do zón neviditelné.
Představme si například dva cyklisty se stejným maximálním výkonem a maximální srdeční frekvencí, kteří oba absolvují stupňovaný test do vyčerpání. Při výkonu 250 wattů a 158 bpm by je tradiční jednorozměrné členění klasifikovalo stejně — stejný výkon, stejná srdeční frekvence, stejná zóna.
Vícedimenzionální analýza však může ukázat, že Sportovec A má SmO₂ 58 %, dechovou frekvenci 28 dechů za minutu a RER 0,89, zatímco Sportovec B má SmO₂ 44 %, dechovou frekvenci 38 dechů za minutu a RER 0,97.
Přestože mají stejnou srdeční frekvenci i výkon, nenacházejí se ve stejném fyziologickém stavu.
V důsledku toho nebudou mít ani stejné tréninkové adaptace — a proto by neměli být zařazeni do stejné zóny.
PROBLÉM 2 — ARBITRÁRNÍ POČET ZÓN
Pro účely argumentace si představme, že bychom přijali členění podle jednoho biomarkeru jako dostatečné. I tak však zůstává druhý problém: proč právě pět zón?
Historická odpověď zní: „Protože pět se zdá být rozumné číslo.“ Ani příliš málo, aby to bylo nepoužitelné, ani příliš mnoho, aby to bylo nepraktické.
Jak však mnozí zkušení trenéři zjistili, různí sportovci mají různý počet odlišných fyziologických stavů — a tento počet často souvisí jak s úrovní trénovanosti, tak s metabolickou flexibilitou (Marco Altini má na toto téma zajímavý článek, který se této problematiky dotýká).
Například rekreační běžec tři měsíce po zahájení svého prvního strukturovaného tréninkového programu může mít pouze dva nebo tři „rychlostní stupně“. Vnucení pěti zón takovému sportovci znamená, že alespoň dvě z nich budou umělým rozdělením bez výrazného fyziologického opodstatnění.
Naopak cyklista úrovně Grand Tour s mimořádnou metabolickou flexibilitou vybudovanou během let systematického tréninku může mít osm nebo devět odlišných fyziologických stavů. Stlačit tuto komplexitu do pěti zón znamená vymazat smysluplné rozdíly — sloučit intenzitní pásma, která vyvolávají odlišné tréninkové adaptace a mají rozdílnou udržitelnost.
Jak je z těchto příkladů patrné, arbitrární pětizónový model vytváří dva problémy současně: u začátečníků dochází k nadměrnému dělení (přiřazuje pět zón tam, kde jich ve skutečnosti existuje méně) a u elitních sportovců naopak k nedostatečnému rozlišení (přiřazuje pět zón tam, kde by jich mohlo být mnohem více).
Výsledkem je systém, který je pro pokročilé sportovce příliš hrubý a pro začátečníky zbytečně detailní, zatímco jen pro malé množství lidí je skutečně adekvátní.
Je to univerzální řešení pro všechny — tam, kde by měl být přístup individuální.
Odhalení skryté struktury — Co ukazuje optimální vícedimenzionální členění
Interakce těchto dvou problémů — měření založeného na jediném biomarkeru a arbitrárního počtu zón — dále zesiluje jejich individuální omezení.
Představme si nucený pětizónový model aplikovaný pouze na data srdeční frekvence. Bereme jednorozměrný signál a uměle jej rozdělujeme do pěti kategorií. Zóny mohou mít určitý vztah k podkladové fyziologii (vyšší srdeční frekvence obecně znamená vyšší metabolickou náročnost), ale jejich hranice jsou stanoveny jako libovolná procenta maximální nebo prahové srdeční frekvence.
Právě tento problém jsme se společně s Evanem Peikonem a Danielem Crumbackem snažili řešit v našem novém projektu Assess.Works.
Nechceme koncept tréninkových zón opustit. Chceme, aby se tento rámec vyvinul — z diskrétního na kontinuální, z jednorozměrného na vícedimenzionální a především z arbitrárního na datově řízený.
Základní princip je následující:
Nechme metody neřízeného strojového učení identifikovat přirozený počet odlišných fyziologických stavů v datech konkrétního sportovce, namísto toho, abychom mu vnucovali předem danou strukturu. Každý takto identifikovaný stav poté charakterizujeme pomocí dostupných vícedimenzionálních fyziologických dat.
V praxi proces probíhá následovně:
Nejprve sportovec nahraje svá testovací data (typicky ze stupňovaného testu nebo progresivního zatížení přecházejícího od lehké až po maximální intenzitu).
Následně náš systém vyhledá všechny dostupné fyziologické metriky a načte je tak, aby byly připraveny k přehlednému zobrazení a analýze.
Poté systém vybere biomarkery kompatibilní s naším modelem predikce zón (pokud jsou k dispozici), jako jsou srdeční frekvence, svalová oxygenace, VO₂, dechová frekvence a míra oxidace substrátů.
Následně provede tvorbu odvozených proměnných, aplikuje vyhlazování a standardizaci dat a spustí dva paralelní shlukovací algoritmy:
Model s pevně danými pěti clustery:
Vynutí rozdělení dat přesně do pěti zón, aby bylo možné porovnání s tradičními rámci a komunikace s trenéry vychovanými v konvenčních systémech.
Model optimálního shlukování:
Využívá neřízené strojové učení k určení přirozeného počtu odlišných fyziologických stavů přítomných v datech. Tento počet se obvykle pohybuje mezi dvěma a devíti clustery v závislosti na úrovni rozvoje sportovce.
Vzniklé clustery jsou následně ordinálně seřazeny pomocí námi vyvinutého algoritmu tak, aby byla zajištěna logická progrese od nízké k vysoké intenzitě.
Níže je uveden příklad testu, ve kterém náš model identifikoval 10 odlišných stavů během stupňovaného zátěžového testu, včetně regeneračního stavu. (Termíny „stav“, „intenzitní cluster“ a „zóna“ používám zaměnitelně — ve všech případech mám na mysli totéž.)
Při pohledu na výše uvedený graf si rychle všimnete, že sousední intenzitní clustery mají překrývající se rozsahy jednotlivých metrik (například datové body SmO₂ se stejnou hodnotou mohou být barevně označeny různými stavy v závislosti na tom, v jaké části tréninku se nacházejí).
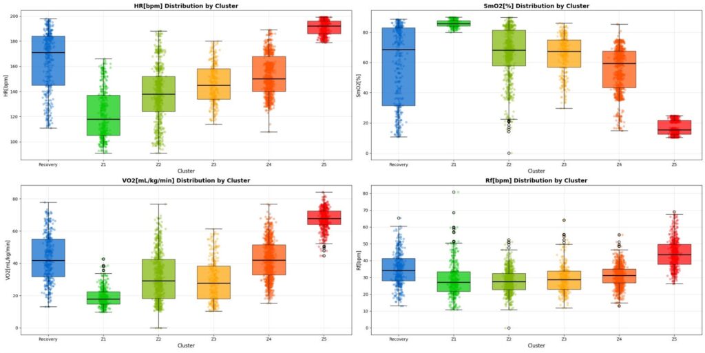
Tento efekt je ještě výraznější na obrázku níže, který zobrazuje distribuci jednotlivých biomarkerů podle intenzitních clusterů/zón. (V této vizualizaci jsem data opět převedl do modelu s pěti clustery, jak bylo popsáno výše.)
Právě zde se ukazuje nezbytnost vícedimenzionální analýzy — a zároveň selhání členění založeného na jediném biomarkeru.
Například stejná srdeční frekvence (řekněme 145 bpm) může být přiřazena k několika různým clusterům (v tomto případě k regeneraci a clusterům 1–4). Toto překrývání není chybou. Naopak, systém správně rozpoznává, že fyziologie je vícerozměrná a že žádná jednotlivá metrika nedokáže plně vystihnout metabolický stav.
Zatímco jednotlivé metriky se mezi clustery mohou překrývat, jejich vícedimenzionální kombinace zůstávají odlišné.
Když se podíváme na průměrné hodnoty napříč clustery, vidíme očekávanou progresi: průměrná srdeční frekvence a VO₂ se z jedné zóny do druhé zvyšují, zatímco SmO₂ obvykle klesá. Distribuční překryv u jednotlivých metrik však odráží realitu — fyziologie je komplexní a multifaktoriální.
Právě proto je nutné řešit oba problémy současně — jak omezení jednoho biomarkeru, tak arbitrární počet zón.
Vícedimenzionální analýza bez optimálního určení počtu zón stále vnucuje umělou strukturu.
Optimální určení počtu zón založené pouze na jednom biomarkeru zase přehlíží klíčové fyziologické rozdíly.
Řešení vyžaduje adresovat obě slabiny zároveň.
Interpretovatelné strojové učení — propojení datově řízených vzorců s objektivními fyziologickými metrikami
Jedním z nejzajímavějších důsledků datově řízeného shlukování intenzity je možnost jeho propojení s objektivními fyziologickými prahy, jako jsou FATmax, kritický výkon (critical power) nebo metabolický crossover point a další.
Po provedení vícedimenzionálního členění lze tyto hranice překrýt tam, kde se v datech skutečně nacházejí. Můžete například zjistit, že FATmax odpovídá přechodu mezi dvěma clustery. Stejně tak však můžete objevit, že tomu tak není — že FATmax se nachází uprostřed stabilního clusteru, zatímco přechod do další zóny nastává až ve chvíli, kdy je FATmax překročen a současně svalová saturace kyslíkem klesne pod určitou hranici.
To odhaluje, že samotný FATmax v případě tohoto konkrétního sportovce nevyvolává širší vícedimenzionální změnu fyziologického stavu.
Právě toto je interpretovatelné strojové učení.
Místo vytváření „černé skříňky“, která vydává tajemná rozhodnutí o tréninkových zónách, budujeme systém, jenž ukazuje, kde dochází k objektivním fyziologickým událostem, a umožňuje vám identifikovat, které kombinace metrik signalizují skutečně významné přechody.
Klasifikace bod po bodu představuje další způsob, jak zkoumat podkladovou fyziologii stojící za jednotlivými predikcemi.
Na rozdíl od intervalového členění používá Assess.Works kontinuální model zón s vysokým rozlišením. Místo toho, aby například minuty 10–20 byly jednoduše označeny jako zóna 4, získává každý jednotlivý datový bod své vlastní přiřazení ke clusteru na základě okamžitého vícedimenzionálního fyziologického stavu.
Tento přístup odhaluje postupný drift během zdánlivě konstantního zatížení — progresivní metabolický stres, který sportovci subjektivně vnímají, ale tradiční členění do zón jej nedokáže zachytit.
Každý cluster lze následně analyzovat:
Proč je tento konkrétní datový bod přiřazen ke clusteru 3?
Protože vykazuje vysokou srdeční frekvenci v kombinaci se sníženou svalovou saturací kyslíkem a zvýšenou akcelerací dechové frekvence — tedy specifický, interpretovatelný vícedimenzionální podpis.
Nový směr v oblasti lidského výkonu
Tradiční modely členění do zón vedly efektivní trénink po celá desetiletí a budou v tom pokračovat i nadále. Pětizónový model je užitečnou heuristikou, zejména pro sportovce a trenéry, kteří nemají přístup k pokročilému fyziologickému monitoringu nebo dávají přednost jednoduchosti před precizností.
S tím, jak se však nositelné senzory stávají výkonnějšími a dostupnějšími, jak sportovci běžně sbírají data o svalové saturaci kyslíkem, dechových parametrech a metabolických ukazatelích během tréninku, otevírá se příležitost posunout se za hranice obou arbitrárních předpokladů, které tradiční členění omezují:
Od jednoho biomarkeru k vícedimenzionálnímu přístupu:
Uznat, že fyziologický stav nelze adekvátně popsat pouze srdeční frekvencí nebo výkonem, ale vyžaduje zohlednění více vzájemně působících proměnných.
Od arbitrárních pěti k optimálnímu N:
Připustit, že různí sportovci operují v odlišném počtu metabolických stavů, a nechat individuální fyziologii určovat strukturu zón namísto vnucování předem definovaných kategorií.
Tato změna je jemná, ale zásadní.
Namísto otázky „V jaké jsem zóně?“ založené na jedné metrice a tabulce hodnot se můžeme ptát:
„V jakém vícedimenzionálním fyziologickém stavu se právě nacházím?“
A odpověď bude vycházet ze vzorců přítomných v našich vlastních datech, bude informována objektivními metabolickými markery a interpretovatelná prostřednictvím konkrétní kombinace faktorů, které daný stav charakterizují.
Výsledkem je pohled na intenzitu tréninku jako na kontinuální, vícerozměrnou krajinu, nikoli jako na sérii oddělených místností.
Nepřeskakujete ze zóny 3 do zóny 4 při nějaké magické hranici srdeční frekvence. Postupně přecházíte prostorem definovaným více vzájemně interagujícími proměnnými a „zóny“ jsou pouze oblasti tohoto prostoru, kde se určité kombinace proměnných přirozeně shlukují.
Někdy se tyto oblasti shodují s tradičními pěti zónami. Často nikoli. A to není selhání modelu — je to naopak důkaz, že model funguje tak, jak má, a odhaluje strukturu v datech, kterou jednodušší rámce nutně přehlížejí.
Zatím bude většina sportovců a trenérů nadále používat tradiční zóny — protože jsou známé, protože fungují dostatečně dobře a protože infrastruktura tréninkových plánů i trenérské zkušenosti je na nich postavena.
Jak však budeme sportovce instrumentovat komplexněji, jak budeme sbírat bohatší data a vyvíjet sofistikovanější analytické nástroje, začne pětizónový model založený na jediném ukazateli působit tím, čím ve skutečnosti je: užitečnou aproximací fenoménu, který je příliš komplexní na to, aby byl úhledně vměstnán do pěti kategorií definovaných jedním číslem.
Otázka tedy nezní, zda bychom měli zóny zcela opustit. Otázkou je, zda jsme připraveni nechat je vyvíjet se dál.
Tým Assess.Works právě dokončil významný milník a nyní se posouvá k dalšímu cíli: automatické identifikaci fyziologických limitací.
Pokud se chcete dozvědět více nebo znáte organizace, kterým by prospěla diskuze o naší technologii a možnostech strategického partnerství, budeme rádi za navázání kontaktu. app@assess.works
Toto je pokračování předchozího článku „DOPING, aneb jen nový přístup“.
V tomto textu jsme se zaměříli na problematiku tradičních tréninkových zón a představili jsme nový pohled na to, jak lze intenzitu a tréninkové zatížení chápat jinak.
Článek je převzat od autora Evana Peikona, který zde kriticky rozebírá současný model dělení tréninku do zón a představuje modernější rámec založený na hlubším pochopení fyziologie. Text zároveň navazuje na nové funkce našeho systému Assess.Works, které umožňují přesnější a smysluplnější interpretaci dat.



